Enzyme Kinetics

Enzyme:

* biological catalyst which speeds up rate of chemical reactions
* specific for particular substrates
* can regulate reactions by responding to signals from surroundings
* usually made of protein, but some RNA molecules also can act as catalysts

Kinetics

* study of reaction rates

rate of any chemical reaction limited by energy needed to reach transition state

equilibrium ratio of A/B dependent on relative free energy of A and B (not changed by enzyme)

Enzyme speeds up rate of reaction:

* stabilizes transition state - lower energy required to achieve it
* also:
* entropy reduction - reduces disorder by orienting substrates for reaction
* covalent catalysis - may form covalent bond to substrate during reaction
--> new pathway of reaction with lower activation energy (also important for reaction coupling)
* may bind metal of other cofactor that does work of reaction (Mg++)

Enzyme binds reactants (substrates - S) at active site
* active site typically a small portion of the volume of the enzyme,
* rest of enzyme necessary for structural stability, proper folding, also may have regulatory domains

Substrate bound through series of weak interactions:
Hbonds, VDW, hydrophobics
--> specificity (substrate missing any key feature is not bound efficiently)

How does S fit E? Lock-and-key? Actually more of an induced fit, enzyme changes conformation upon binding substrate

An example of an enzyme:
Chymotrypsin-
* a serine protease (i. e. has serine at active site)
* digests proteins at C-term side of Y, W or F residues
* important active site residues: Asp(D)102, His(H)57 and Ser(S)195.
* Uses stabilization of transition state, entropy reduction, and covalent catalysis to enhance reaction rate

rate of uncatalyzed reaction: 10-10/sec
rate of uncatalyzed reaction: 102/sec
rate enhancement of: 1012/sec!

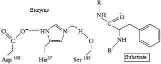
Serine Protease Mechanism

(modified from Garrett and Grisham, p441)

Enzyme binds substrate, orienting it for subsequent reaction. (Reduction of entropy)

His57 accepts proton from ser195, allowing O of ser to attack C=O carbon of substrate. Protonated his stabilized by negative charge of neighboring asp102

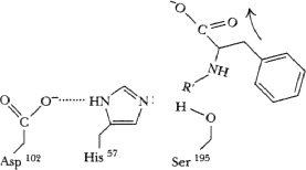
Tetrahedral transition state intermediate formed, stabilized by H-bonds from backbone NH protons of residues 193 and 195. Enzyme is covalently linked to substrate. Peptide N of substrate accepts proton from his57.

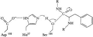
Electrons move from C-N bond to +-charged N, breaking C-N bond of substrate. C=O bond reformed.

Amino fragment of substrate released, carboxyl fragment remains covalently bound to ser195 as acyl-enzyme intermediate.

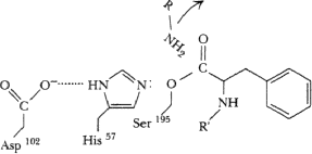
His57 accepts proton from solvent H2O, remaining OH attacks C=O carbon of acyl-enzyme intermediate.

Tetrahedral transition state formed again, stabilized by H-bonds (not shown this time). Subsequently, acyl bond breaks, proton transferrred from his57 to ser195, C=O bond reformed on product.

Carboxyl proton lost.

C-terminal product released.

Measuring rate of enzyme catalysis - enzyme kinetics

(early in reaction [P]<<[S])

S=substrate, P=product, E= free enzyme, ES=enzyme-substrate complex ET=total enzyme

[ES] ~ constant : steady state

Varying the substrate concentration changes the rate of reaction:

The rate of product formation, V:
V = k3 [ES]
and the maximum reaction rate, Vmax , occurs when all enzyme is bound to substrate:
Vmax = k3 [ET]

Under steady-state conditions:

rate of ES formation =rate of ES breakdown

[E][S]k1 = [ES]k2+[ES]k3
or:
[E][S]k1 = [ES] (k2+ k3)

solving for [ES]:

since k1,k2, and k3 should be constant for a particular E and S, we'll define a constant KM , based upon them:

substituting into the previous equation:

we don't really know [E] or [ES], but:
[E]=[ET]-[ES]
substituting for [E]:

multiplying both sides by KM :
([ET]-[ES])[S] = [ES]KM

factoring:
[ET] [S]-[ES][S] = [ES]KM

rearranging:
[ET] [S] = [ES][S] + KM [ES]

factoring:
[ET] [S] = [ES] ([S] + KM )

dividing both sides by ([S] + KM ):

now substitute this into the equation for reaction velocity:
V = k3 [ES]:

when the enzyme is fully saturated, velocity reaches Vmax :
Vmax = k3 [ET]
substituting again:

This is the Michaelis-Menten equation.

what happens when [S] = KM ?

or:
V = Vmax /2
Reaction velocity is one-half of Vmax when [S] = KM .

But it is hard to determine Vmax and KM from this type of graph. How do you actually determine Vmax and KM ?
You can use a computer graphing program to fit the data to a curve.
Or you can rearrange the Michaelis-Menten equation to make it easier to plot and determine Vmax and KM.

Start with the Michaelis-Menten equation:

take the inverse of both sides:

factor:

which can be rewritten as:

compare to the plot of a linear equation:

So plotting 1/S for x and 1/V for y yields a straight line with 1/ Vmax for the y-intercept (b). The slope (m) = KM / Vmax and the x-intercept= -1/ KM .
This is the Lineweaver-Burk plot:

Importance of KM and kcat:

In vivo often [S] ~ KM:
if [S] = 1000 KM, rate still only 2X higher than when [S] = KM (waste of S; reaction rate is insensitive to [S])
if [S] = KM /1000, most of E unoccupied (waste of E)
Knowing KM useful for setting up reactions in lab:
eg. picking a DNA polymerase for 32P labeling (expensive, dangerous in large quantities)
E. coli polI KM for dNTPs ~1uM
AMV reverse transcriptase KM ~1mM

So polI can more efficiently incorporate small [ ] of dNTP


polI formerly used for DNA sequencing, but KM varies for each dNTP and ddNTP, so optimizing reaction was quite tedious. T7, Taq polymerase: similar KM for all dNTP and ddNTPs easier to optimize

k3 (kcat for multistep reaction)

Vmax = k3 [ET]
k3= reactions catalyzed/mol enzyme-sec
each reaction requires 1/ k3 sec to occur

carbonic anhydrase: k3 =6X105/s time per reaction =1.7 us
chymotrypsin: kcat =1X102/s time per reaction =0.01 s
ribonuclease P =0.2/s time per reaction =5 s
kcat/ KM

when [S] << KM

so V is dependent upon kcat/ KM at a given [ET] [S].

Can compare affinities for different substrates using low [S]:

Chymotrypsin:

AA at cleavage site kcat/ KM
glycine 1.3X10-1
phenylalanine 1X105

showing preference for bulky hydrophobics at active site.

if k3>> k2

k1 limited by diffusion of S to E: 108 -109 /M-sec

"catalytic perfection" production of product limited by rate of encountering substrate in solution.

carbonic anhydrase, acetyl cholinesterase - ~ catalytically perfect, kcat/ KM around 108 /M-sec

Even this limit can be surpassed by enzymatic assemblies - related enzymes co-localized, product of one E released to next to use as S. Faster than diffusion.

Multicomponent reactions

Most reactions more complex than

such as:

Kinetics also become much more complicated

Do reactants bind to enzyme at same time? (ternary complex formation)

Do reactants bind in particular order?

Random binding order:

ordered binding

Ping-pong Bi-Bi:

Equations can get pretty hairy, usually keep one [S] constant and high, vary the other to determine kinetic parameters.

Inhibitors

Specific compounds that slow enzymatic reactions

Very important tool for studying reaction components

Major types of competitors:

Competitive inhibitors:

Usually resemble substrate (including product)

Inhibitor (I) binds to active site instead of substrate

Vmax not changed, just requires more S to reach it. Apparent KM , KMAPP goes up.

Noncompetitive inhibition

I and S bind to different sites, but only ES --> P

KM not affected, but Vmax is decreased.